- Product Detail
- Product Tags
一:產品系列
型號:DW-LSW系列
類型:水冷式散熱
制冷量范圍:40KW~500KW
控溫精度:±1℃~±2℃
溫度范圍:-5℃~-40℃
可否定制:是(支持各類非標定制)
交貨期:15~30工作日
二:產品概述:
水冷低溫螺桿式冷凍機因其關鍵部件-壓縮機采用螺桿式故名水冷螺桿式冷凍機,機組由蒸發器出來的狀態為氣體的冷媒;經壓縮機絕熱壓縮以后,變成高溫高壓狀態。被壓縮后的氣體冷媒,在冷凝器中,等壓冷卻冷凝,經冷凝后變化成液態冷媒,再經節流閥膨脹到低壓,變成氣液混合物。其中低溫低壓下的液態冷媒,在蒸發器中吸收被冷物質的熱量,重新變成氣態冷媒。氣態冷媒經管道重新進入壓縮機,開始新的循環。這就是冷凍循環的四個過程。也是螺桿式冷凍機的主要工作原理。
三:應用領域
隨著現代科學技術的發展,產品的多樣化要求,一些工藝和設備常溫水滿足不了要求,如醫藥化工,食品與飲料,特殊電子材料的制作等這些**行業經常需要低溫冷凍機達到工藝使用要求。達沃西低溫冷凍機采用國外**品牌壓縮機,先進的工藝結構設計。以此來滿足一些低溫-40, -50,-60度的的低溫冷凍要求。
四:低溫冷凍機特點:
1、采用原裝進口國際品牌BITZER德國(比澤爾) 臺灣 HANBELL(漢鐘)高效節能壓縮機匹配優質冷凝器與蒸發器,效率高性能穩定噪音低使用壽命長。工業級PLC機組集中控制,配臺壓縮機的能量比,可及時準確控制機組制冷量與冷負荷的匹配,保證機組有效率運行,降低運行費用。
2、內部集成斷水低溫高低壓防凍缺相延時啟動逆相過載電機過熱油壓差等多項安全保護及處理功能。
3、全中文操作界面,菜單式提示,可任意設置機組運行狀態,家電化的操作環境。
4、容量控制可采用四段式(100%-75%-50%-25%)或三段式(100%-66%-33%)及無段式控制系統。
5、獨特內建式油壓系統,無須油泵也保證壓縮機維持潤滑效果,油分離器采用雙層過濾方式,濾油效果佳,熱變換器可發揮大能力.
6、高效內螺紋銅管,增強傳熱效果,更加節能高效。運用CAD/CAM設計加工技術,CNC加工中心制作完成,結構緊湊,體積小15,經久耐月。U型結構的換熱管束,方便維修保養,杜絕制冷劑泄露現象。
五:產品參數:
低溫螺桿式冷水機(-10℃)
| 型號 | DW-100LSW | DW-140LSW | DW-180LSW | DW-200LSW | DW-230LSW | DW-260LSW | DW-300LSW | DW-310LSW | DW-320LSW | DW-340LSW | DW-370LSW | DW-410LSW | DW-470LSW | DW-510LSW | DW-550LSW | DW-580LSW | DW-620LSW | DW-710LSW | DW-790LSW | DW-830LSW | DW-930LSW | DW-1020LSW | DW-1130LSW | DW-1270LSW | DW-1530LSW | ||
| 制冷量(-10℃) | KW | 43.8 | 60.7 | 79.8 | 85.6 | 106.5 | 114.7 | 135.3 | 142.9 | 150.4 | 159.2 | 171.5 | 186.3 | 226.4 | 236.8 | 261.8 | 283.6 | 294.4 | 343.1 | 369.3 | 401.9 | 453.4 | 511.3 | 584.2 | 655.5 | 760.4 | |
| Kcal/h | 37668 | 52202 | 68628 | 73616 | 91590 | 98642 | 116358 | 122894 | 129344 | 136912 | 147490 | 160218 | 194704 | 203648 | 225148 | 243896 | 253184 | 295066 | 317598 | 345634 | 389924 | 439718 | 502412 | 563730 | 653944 | ||
| 總功率 | KW | 20.4 | 26.9 | 33.8 | 37.2 | 44.6 | 48.7 | 55.2 | 58.7 | 60.1 | 64 | 69.5 | 76.6 | 91.7 | 93.8 | 105.5 | 112.9 | 118.1 | 134.7 | 145.2 | 158.6 | 179.2 | 201.1 | 223.7 | 249.9 | 288.5 | |
| 運行電流 | A | 36 | 47.8 | 61.3 | 66 | 79.6 | 85.8 | 96.7 | 102.1 | 104.3 | 111.9 | 120.3 | 130.3 | 155.9 | 161.8 | 179.9 | 191.6 | 200.9 | 228.6 | 246.4 | 268.8 | 303.7 | 353.6 | 388.9 | 431 | 496.6 | |
| 電源 | 三相380V 50Hz | ||||||||||||||||||||||||||
| 溫控范圍 | ℃ | 5-35 | |||||||||||||||||||||||||
| 溫控精度 | ℃ | ±1 | |||||||||||||||||||||||||
| 冷媒 | 種類 | R22(R407C/R410A/R134A) | |||||||||||||||||||||||||
| 填充量 | KG | 15 | 20 | 25 | 27 | 30 | 34 | 38 | 38 | 39 | 50 | 53 | 57 | 70 | 74 | 78 | 84 | 90 | 103 | 109 | 115 | 123 | 128 | 134 | 140 | 155 | |
| 控制方式 | 外平衡熱力膨脹閥 | ||||||||||||||||||||||||||
| 壓縮機 | 啟動 | Y-1△ | |||||||||||||||||||||||||
| 能量調節 | % | 0-25-50-75-100(0-33-66-100) | |||||||||||||||||||||||||
| 形式 | 半封閉螺桿式壓縮機 | ||||||||||||||||||||||||||
| 功率 | KW | 20.4 | 26.9 | 33.8 | 37.2 | 44.6 | 48.7 | 55.2 | 58.7 | 60.1 | 64 | 69.5 | 76.6 | 91.7 | 93.8 | 105.5 | 112.9 | 118.1 | 134.7 | 145.2 | 158.6 | 179.2 | 201.1 | 223.7 | 249.9 | 288.5 | |
| 蒸發器 | 類型 | 殼管式 | |||||||||||||||||||||||||
| 冷凍水流量 | m3/h | 19 | 25 | 32 | 34 | 38 | 42 | 50 | 52 | 54 | 63 | 68 | 75 | 83 | 87 | 94 | 107 | 115 | 136 | 148 | 167 | 178 | 202 | 210 | 222 | 245 | |
| 管徑 | PT 2-1/2〃 | PT 3〃 | PT 4〃 | PT 5〃 | PT 6〃 | PT 8〃 | PT 5〃*2 | PT 6〃*2 | |||||||||||||||||||
| 冷凝器 | 類型 | 殼管式 | |||||||||||||||||||||||||
| 冷卻水流量 | m3/h | 23 | 29 | 36 | 40 | 44 | 48 | 58 | 60 | 64 | 72 | 84 | 92 | 101 | 105 | 115 | 128 | 142 | 159 | 180 | 198 | 213 | 242 | 259 | 281 | 315 | |
| 管徑 | PT 3〃 | PT 4〃 | PT 5〃 | PT 6〃 | PT 8〃 | PT 5〃*2 | PT 6〃*2 | ||||||||||||||||||||
| 安全保護 | 壓縮機過熱保護、過流保護、高低壓力保護、超溫保護、流量保護、相序/缺相保護,排氣過熱保護、防凍保護。 | ||||||||||||||||||||||||||
| 外型尺寸 | 長 | mm | 2250 | 2300 | 2500 | 2500 | 2500 | 2600 | 2800 | 2800 | 2800 | 2800 | 3200 | 3300 | 3300 | 3300 | 3400 | 3400 | 3400 | 3650 | 3650 | 3650 | 3950 | 3950 | 3950 | 3950 | 3950 |
| 寬 | mm | 800 | 800 | 800 | 800 | 800 | 850 | 850 | 850 | 850 | 850 | 900 | 900 | 900 | 900 | 950 | 950 | 950 | 1000 | 1000 | 1000 | 1100 | 1100 | 1100 | 1250 | 1250 | |
| 高 | mm | 1450 | 1450 | 1550 | 1550 | 1550 | 1700 | 1800 | 1800 | 1800 | 1800 | 1800 | 1800 | 1800 | 1800 | 1900 | 1900 | 1900 | 2020 | 2020 | 2020 | 2100 | 2100 | 2100 | 2200 | 2200 | |
備注: 1.制冷量是在一下溫度條件下測得:冷凍液為60%已二醇水溶液;冷凝溫度40℃。(制冷量為名義制冷量)
2.工作范圍:冷凍水溫度范圍:22℃至37℃冷卻入口溫差值為3.5℃至10℃;冷凍液出口溫度為-5℃至-30℃冷凍液出入口溫差值為2.5℃至10℃。
3.冷凍液為60%已二醇水溶液由用戶自備(詳情請參考低溫冷凍劑配置表)
4.以上規格尺寸如有變更,恕不另行通知
低溫螺桿式冷凍機(-20℃)
| 型號 | DW-100LSW | DW-140LSW | DW-180LSW | DW-200LSW | DW-230LSW | DW-260LSW | DW-300LSW | DW-310LSW | DW-320LSW | DW-340LSW | DW-370LSW | DW-410LSW | DW-470LSW | DW-510LSW | DW-550LSW | DW-580LSW | DW-620LSW | DW-710LSW | DW-790LSW | DW-830LSW | DW-930LSW | DW-1020LSW | DW-1130LSW | DW-1270LSW | DW-1530LSW | ||
| 制冷量(-20℃) | KW | 27.7 | 38.4 | 50.7 | 54.3 | 67.7 | 72.8 | 86.1 | 90.9 | 95.8 | 101.4 | 109.1 | 118.5 | 144.1 | 150.9 | 166.7 | 180.6 | 187.5 | 218.7 | 235.3 | 256.1 | 288.9 | 325.9 | 372.7 | 418.2 | 485.3 | |
| Kcal/h | 23822 | 33024 | 43602 | 46698 | 58222 | 62608 | 74046 | 78174 | 82388 | 87204 | 93826 | 101910 | 123926 | 129774 | 143362 | 155316 | 161250 | 188082 | 202358 | 220246 | 248454 | 280274 | 320522 | 359652 | 417358 | ||
| 總功率 | KW | 18.7 | 24.8 | 31.1 | 34.2 | 41 | 44.7 | 50.8 | 54 | 55.3 | 58.9 | 63.9 | 70.4 | 84.3 | 86.3 | 97.1 | 103.9 | 108.6 | 123.9 | 133.6 | 145.9 | 164.8 | 185 | 205.7 | 229.8 | 265.3 | |
| 運行電流 | A | 33.7 | 44.7 | 57.6 | 61.8 | 74.3 | 79.9 | 90 | 94.9 | 96.8 | 104.1 | 111.7 | 120.7 | 144.4 | 150.6 | 166.7 | 177.2 | 186.1 | 212.8 | 229.4 | 250.1 | 282.5 | 329 | 360.7 | 400.7 | 461.5 | |
| 電源 | 三相380V 50Hz | ||||||||||||||||||||||||||
| 溫控范圍 | ℃ | 5-35 | |||||||||||||||||||||||||
| 溫控精度 | ℃ | ±1 | |||||||||||||||||||||||||
| 冷媒 | 種類 | R22(R407C/R410A/R134A) | |||||||||||||||||||||||||
| 填充量 | KG | 15 | 20 | 25 | 27 | 30 | 34 | 38 | 38 | 39 | 50 | 53 | 57 | 70 | 74 | 78 | 84 | 90 | 103 | 109 | 115 | 123 | 128 | 134 | 140 | 155 | |
| 控制方式 | 外平衡熱力膨脹閥 | ||||||||||||||||||||||||||
| 壓縮機 | 啟動 | Y-1△ | |||||||||||||||||||||||||
| 能量調節 | % | 0-25-50-75-100(0-33-66-100) | |||||||||||||||||||||||||
| 形式 | 半封閉螺桿式壓縮機 | ||||||||||||||||||||||||||
| 功率 | KW | 18.7 | 24.8 | 31.1 | 34.2 | 41 | 44.7 | 50.8 | 54 | 55.3 | 58.9 | 63.9 | 70.4 | 84.3 | 86.3 | 97.1 | 103.9 | 108.6 | 123.9 | 133.6 | 145.9 | 164.8 | 185 | 205.7 | 229.8 | 265.3 | |
| 蒸發器 | 類型 | 殼管式 | |||||||||||||||||||||||||
| 冷凍水流量 | m3/h | 19 | 25 | 32 | 34 | 38 | 42 | 50 | 52 | 54 | 63 | 68 | 75 | 83 | 87 | 94 | 107 | 115 | 136 | 148 | 167 | 178 | 202 | 210 | 222 | 245 | |
| 管徑 | PT 2-1/2〃 | PT 3〃 | PT 4〃 | PT 5〃 | PT 6〃 | PT 8〃 | PT 5〃*2 | PT 6〃*2 | |||||||||||||||||||
| 冷凝器 | 類型 | 殼管式 | |||||||||||||||||||||||||
| 冷卻水流量 | m3/h | 23 | 29 | 36 | 40 | 44 | 48 | 58 | 60 | 64 | 72 | 84 | 92 | 101 | 105 | 115 | 128 | 142 | 159 | 180 | 198 | 213 | 242 | 259 | 281 | 315 | |
| 管徑 | PT 3〃 | PT 4〃 | PT 5〃 | PT 6〃 | PT 8〃 | PT 5〃*2 | PT 6〃*2 | ||||||||||||||||||||
| 安全保護 | 壓縮機過熱保護、過流保護、高低壓力保護、超溫保護、流量保護、相序/缺相保護,排氣過熱保護、防凍保護。 | ||||||||||||||||||||||||||
| 外型尺寸 | 長 | mm | 2250 | 2300 | 2500 | 2500 | 2500 | 2600 | 2800 | 2800 | 2800 | 2800 | 3200 | 3300 | 3300 | 3300 | 3400 | 3400 | 3400 | 3650 | 3650 | 3650 | 3950 | 3950 | 3950 | 3950 | 3950 |
| 寬 | mm | 800 | 800 | 800 | 800 | 800 | 850 | 850 | 850 | 850 | 850 | 900 | 900 | 900 | 900 | 950 | 950 | 950 | 1000 | 1000 | 1000 | 1100 | 1100 | 1100 | 1250 | 1250 | |
| 高 | mm | 1450 | 1450 | 1550 | 1550 | 1550 | 1700 | 1800 | 1800 | 1800 | 1800 | 1800 | 1800 | 1800 | 1800 | 1900 | 1900 | 1900 | 2020 | 2020 | 2020 | 2100 | 2100 | 2100 | 2200 | 2200 | |
| 機組重量 | KG | 1030 | 1150 | 1350 | 1420 | 1500 | 1680 | 1730 | 1740 | 1760 | 1800 | 1900 | 1980 | 2100 | 2290 | 2420 | 2530 | 2700 | 2950 | 3200 | 3480 | 3670 | 3880 | 4120 | 4400 | 4800 | |
備注: 1.制冷量是在一下溫度條件下測得:冷凍液為60%已二醇水溶液;冷凝溫度40℃。(制冷量為名義制冷量)
2.工作范圍:冷凍水溫度范圍:22℃至37℃冷卻入口溫差值為3.5℃至10℃;冷凍液出口溫度為-5℃至-30℃冷凍液出入口溫差值為2.5℃至10℃。
3.冷凍液為60%已二醇水溶液由用戶自備(詳情請參考低溫冷凍劑配置表)
4.以上規格尺寸如有變更,恕不另行通知
低溫螺桿式冷凍機(-30℃)
| 型號 | DW-100LSW | DW-140LSW | DW-180LSW | DW-200LSW | DW-230LSW | DW-260LSW | DW-300LSW | DW-310LSW | DW-320LSW | DW-340LSW | DW-370LSW | DW-410LSW | DW-470LSW | DW-510LSW | DW-550LSW | DW-580LSW | DW-620LSW | DW-710LSW | DW-790LSW | DW-830LSW | DW-930LSW | DW-1020LSW | DW-1130LSW | DW-1270LSW | DW-1530LSW | ||
| 制冷量(-35℃) | KW | 12.1 | 16.9 | 22.3 | 23.8 | 29.7 | 32 | 37.9 | 40 | 42.1 | 44.6 | 48 | 52.1 | 63.4 | 66.4 | 73.3 | 79.5 | 82.5 | 96.3 | 103.6 | 112.7 | 127.1 | 143.4 | 164.2 | 184.3 | 213.8 | |
| Kcal/h | 10406 | 14534 | 19178 | 20468 | 25542 | 27520 | 34142 | 34400 | 36206 | 38356 | 41280 | 44806 | 54524 | 57104 | 63038 | 68370 | 70950 | 82818 | 89096 | 96922 | 109306 | 123324 | 141212 | 158498 | 183868 | ||
| 總功率 | KW | 16.7 | 22 | 27.7 | 30.5 | 36.5 | 39.8 | 45.2 | 48.1 | 49.2 | 52.4 | 56.9 | 62.7 | 75.1 | 76.8 | 86.4 | 92.5 | 96.7 | 110.3 | 119 | 129.9 | 146.8 | 164.7 | 183.2 | 204.7 | 236.3 | |
| 運行電流 | A | 30.9 | 41 | 53 | 56 | 67.9 | 72.6 | 81.7 | 86 | 87.7 | 94.4 | 101.1 | 109.1 | 130.4 | 137.1 | 150.8 | 159.8 | 168.1 | 193.8 | 208.7 | 227.5 | 256.9 | 298.9 | 326.3 | 363.4 | 418.3 | |
| 電源 | 三相380V 50Hz | ||||||||||||||||||||||||||
| 溫控范圍 | ℃ | 5-35 | |||||||||||||||||||||||||
| 溫控精度 | ℃ | ±1 | |||||||||||||||||||||||||
| 冷媒 | 種類 | R22(R407C/R410A/R134A) | |||||||||||||||||||||||||
| 填充量 | KG | 15 | 20 | 25 | 27 | 30 | 34 | 38 | 38 | 39 | 50 | 53 | 57 | 70 | 74 | 78 | 84 | 90 | 103 | 109 | 115 | 123 | 128 | 134 | 140 | 155 | |
| 控制方式 | 外平衡熱力膨脹閥 | ||||||||||||||||||||||||||
| 壓縮機 | 啟動 | Y-1△ | |||||||||||||||||||||||||
| 能量調節 | % | 0-25-50-75-100(0-33-66-100) | |||||||||||||||||||||||||
| 形式 | 半封閉螺桿式壓縮機 | ||||||||||||||||||||||||||
| 功率 | KW | 18.7 | 24.8 | 31.1 | 34.2 | 41 | 44.7 | 50.8 | 54 | 55.3 | 58.9 | 63.9 | 70.4 | 84.3 | 86.3 | 97.1 | 103.9 | 108.6 | 123.9 | 133.6 | 145.9 | 164.8 | 185 | 205.7 | 229.8 | 265.3 | |
| 蒸發器 | 類型 | 殼管式 | |||||||||||||||||||||||||
| 冷凍水流量 | m3/h | 19 | 25 | 32 | 34 | 38 | 42 | 50 | 52 | 54 | 63 | 68 | 75 | 83 | 87 | 94 | 107 | 115 | 136 | 148 | 167 | 178 | 202 | 210 | 222 | 245 | |
| 管徑 | PT 2-1/2〃 | PT 3〃 | PT 4〃 | PT 5〃 | PT 6〃 | PT 8〃 | PT 5〃*2 | PT 6〃*2 | |||||||||||||||||||
| 冷凝器 | 類型 | 殼管式 | |||||||||||||||||||||||||
| 冷卻水流量 | m3/h | 23 | 29 | 36 | 40 | 44 | 48 | 58 | 60 | 64 | 72 | 84 | 92 | 101 | 105 | 115 | 128 | 142 | 159 | 180 | 198 | 213 | 242 | 259 | 281 | 315 | |
| 管徑 | PT 3〃 | PT 4〃 | PT 5〃 | PT 6〃 | PT 8〃 | PT 5〃*2 | PT 6〃*2 | ||||||||||||||||||||
| 安全保護 | 壓縮機過熱保護、過流保護、高低壓力保護、超溫保護、流量保護、相序/缺相保護,排氣過熱保護、防凍保護。 | ||||||||||||||||||||||||||
| 外型尺寸 | 長 | mm | 2250 | 2300 | 2500 | 2500 | 2500 | 2600 | 2800 | 2800 | 2800 | 2800 | 3200 | 3300 | 3300 | 3300 | 3400 | 3400 | 3400 | 3650 | 3650 | 3650 | 3950 | 3950 | 3950 | 3950 | 3950 |
| 寬 | mm | 800 | 800 | 800 | 800 | 800 | 850 | 850 | 850 | 850 | 850 | 900 | 900 | 900 | 900 | 950 | 950 | 950 | 1000 | 1000 | 1000 | 1100 | 1100 | 1100 | 1250 | 1250 | |
| 高 | mm | 1450 | 1450 | 1550 | 1550 | 1550 | 1700 | 1800 | 1800 | 1800 | 1800 | 1800 | 1800 | 1800 | 1800 | 1900 | 1900 | 1900 | 2020 | 2020 | 2020 | 2100 | 2100 | 2100 | 2200 | 2200 | |
| 機組重量 | KG | 1030 | 1150 | 1350 | 1420 | 1500 | 1680 | 1730 | 1740 | 1760 | 1800 | 1900 | 1980 | 2100 | 2290 | 2420 | 2530 | 2700 | 2950 | 3200 | 3480 | 3670 | 3880 | 4120 | 4400 | 4800 | |
備注: 1.制冷量是在一下溫度條件下測得:冷凍液為60%已二醇水溶液;冷凝溫度40℃。(制冷量為名義制冷量)
2.工作范圍:冷凍水溫度范圍:22℃至37℃冷卻入口溫差值為3.5℃至10℃;冷凍液出口溫度為-5℃至-30℃冷凍液出入口溫差值為2.5℃至10℃。
3.冷凍液為60%已二醇水溶液由用戶自備(詳情請參考低溫冷凍劑配置表)
4.以上規格尺寸如有變更,恕不另行通知
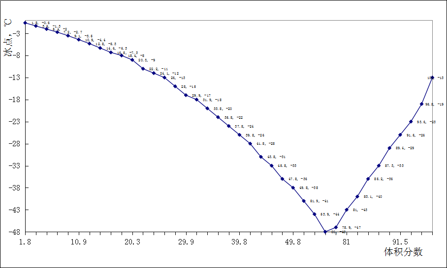
載冷劑乙二醇水溶液的冰點及配比方法:
